RUS  ENG 

История изменений

14 октября 2008

Коэффициент гидравлического трения

Расширена возможность выбора формул для расчета коэффициента гидравлического трения при турбулентном режиме движения теплоносителя. В диалоге Настройки панели ZuluThermo в закладке Потери напора можно выбрать формулы Никурадзе, Альтшуля, Шифринсона или уравнение Кольбрука-Уайта.

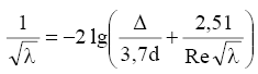
Существенным является возможность использования уравнения Кольбрука-Уайта(1), которое, в отличие от формул, является наиболее универсальным для различных областей турбулентного режима, значений шероховатостей и скоростей.

(1)



Возврат к списку