Определение нормируемых эксплуатационных часовых тепловых потерь производится на основании данных о конструктивных характеристиках всех участков тепловой сети (типе прокладки, виде тепловой изоляции, диаметре и длине трубопроводов и т.п.) при среднегодовых условиях работы тепловой сети исходя из норм тепловых потерь.
Нормы тепловых потерь (плотность теплового потока) для участков тепловых сетей вводимых в эксплуатацию, или запроектированных до 1988 года принимаются по таблицам.
Нормы тепловых потерь (плотность теплового потока) для участков тепловых сетей вводимых в эксплуатацию после монтажа, а также реконструкции или капитального ремонта, при которых производились работы по замене тепловой изоляции после 1988 года принимаются по таблицам 8 - 22.
Определение часовых тепловых потерь при среднегодовых условиях работы тепловой сети по нормам тепловых потерь осуществляется раздельно для подземной и надземной прокладок по формулам:
Для подземной прокладки суммарно по подающему и обратному трубопроводам:
Формула 44. для подземной прокладки суммарно по подающему и обратному трубопроводам:

Для надземной прокладки раздельно по подающему и обратному трубопроводам:
Формула 45. для подземной прокладки суммарно по подающему и обратному трубопроводам:

Формула 46. для подземной прокладки суммарно по подающему и обратному трубопроводам:

, где qнорм, qнорм.под., qнорм.обр. - удельные (на один метр длины) часовые потери, определённые по нормам тепловых потерь для каждого диаметра трубопровода при среднегодовых условиях работы тепловой сети, для подземной прокладки суммарно для подающего и обратного трубопроводам и раздельно для надземной прокладки, ккал/(м*ч);
L -длина трубопроводов на участке тепловой сети с диаметром в двухтрубном исчислении при подземной прокладке и по подающей (обратной) линии при надземной прокладке, м;
β - коэффициент местных тепловых потерь, учитывающий тепловые потери арматурой, компенсаторами, опорами. Принимается для подземной канальной и надземной прокладок равным 1,2 при диаметрах трубопроводов до 0,15 м и 1,15 при диаметрах 0,15 м и более, а также при всех диаметрах бесканальной прокладки.
Значения удельных часовых тепловых потерь принимаются по нормам тепловых потерь для тепловых сетей, тепловая изоляция которых выполнена в соответствии с [5], или по нормам тепловых потерь (нормы плотности теплового потока) для тепловых сетей с тепловой изоляцией, выполненной в соответствии с [6].
Значения удельных часовых тепловых потерь при среднегодовой разности температур сетевой воды и окружающей среды (грунта или воздуха), отличающейся от значений, приведенных в нормах [5] и [6], определяются путем линейной интерполяции или экстраполяции.
Интерполяцию проводят на среднегодовую температуру воды в соответствующем трубопроводе тепловой сети или на разность среднегодовых температур воды и грунта для данной тепловой сети (или на разность среднегодовых температур воды в соответствующих линиях и окружающего воздуха для данной тепловой сети).
Среднегодовую температуру окружающей среды определяют на основании средних за год температур наружного воздуха и грунта на уровне заложения трубопроводов, принимаемых по климатологическим справочникам или по данным метеорологической станции. Среднегодовые температуры воды в подающей и обратной линиях тепловой сети находят как среднеарифметические из среднемесячных температур в соответствующих линиях за весь период работы сети в течение года. Среднемесячные температуры воды определяют по утвержденному эксплуатационному температурному графику при среднемесячной температуре наружного воздуха.
Для тепловых сетей с тепловой изоляцией, выполненной в соответствии с [7], табл.6, 7 удельные часовые тепловые потери определяются:
Для подземной прокладки суммарно по подающему и обратному трубопроводам ккал/(м*ч) по формуле:
Формула 47. для подземной прокладки суммарно по подающему и обратному трубопроводам:

, где qT1норм, qT2норм - удельные часовые тепловые потери суммарно по подающему и обратному трубопроводам каждого диаметра при двух смежных (соответственно меньшем и большем, чем для данной сети) табличных значениях среднегодовой разности температур сетевой воды и грунта, ккал/(м*ч);
Δtср.г.ср. - значение среднегодовой разности температур сетевой воды и грунта для данной тепловой сети, °C;
ΔtT1ср., ΔtT2ср. - смежные (соответственно меньшее и большее, чем для данной сети) табличные значения среднегодовой разности температур сетевой воды и грунта, °C;
Значение среднегодовой разности температур сетевой воды и грунта Δtср.г.ср. определяется по формуле:
Формула 48.

, где tср.г.под., tср.г.обр. - среднегодовая температура сетевой воды соответственно в подающем и обратном трубопроводах данной тепловой сети, °C;
Δtср.г.ср. - среднегодовая температура грунта на глубине заложения трубопроводов, °C;
Для надземной прокладки раздельно по подающему и обратному трубопроводам qнорм.под.,qнорм.обр., ккал/(м*ч), по формулам:
Формула 49.

, где qT1норм.под., qT2норм.под. - удельные часовые тепловые потери по подающему трубопроводу для данного диаметра при двух смежных (соответственно меньшем и большем) табличных значениях среднегодовой разности температур сетевой воды и наружного воздуха, ккал/(м*ч);
qT1норм.обр., qT2норм.обр. - удельные часовые тепловые потери по обратном трубопроводу для данного диаметра при двух смежных (соответственно меньшем и большем) табличных значениях среднегодовой разности температур сетевой воды и наружного воздуха, ккал/(м*ч);
Δtср.г.ср.под, Δtср.г.ср.обр - среднегодовая разность температур соответственно сетевой воды в подающем и обратном трубопроводах и наружного воздуха для данной тепловой сети, °C;
ΔtT1ср.под, ΔtT2ср.под - смежные табличные значения (соответственно меньшее и большее) среднегодовой разности температур сетевой воды в подающем трубопроводе и наружного воздуха, °C;
ΔtT1ср.обр, ΔtT2ср.обр - смежные табличные значения (соответственно меньшее и большее) среднегодовой разности температур сетевой воды в обратном трубопроводе и наружного воздуха, °C;
Среднегодовые значения разности температур для подающего Δtср.гср.под и обратного Δtср.гср.обр трубопроводов определяется как разность соответствующих среднегодовых температур сетевой воды tср.гср.под , tср.гср.обр и среднегодовой температуры наружного воздуха tср.гв..
Определение часовых тепловых потерь тепловыми сетями, теплоизоляционные конструкции которых выполнены в соответствии с нормами [6], принципиально не отличается от вышеприведенного. В то же время при работе с [6] необходимо учитывать следующее:
Нормы приведены раздельно для тепловых сетей с числом часов работы в год более 5000, а также 5000 и менее;
Для подземной прокладки тепловых сетей нормы приведены раздельно для канальной и бесканальной прокладок;
Нормы приведены для абсолютных значений среднегодовых температур сетевой воды в подающем и обратном трубопроводах, а не для разности среднегодовых температур сетевой воды и окружающей среды;
Удельные тепловые потери для участков подземной канальной и бесканальной прокладок для каждого диаметра трубопровода находятся путем суммирования тепловых потерь, определенных по нормам раздельно для подающего и обратного трубопроводов.
Среднегодовое значение температуры сетевой воды tср.гср.под, tср.гср.обр определяется как среднее значение из ожидаемых среднемесячных значений температуры воды по принятому температурному графику регулирования отпуска теплоты, соответствующих ожидаемым значениям температуры наружного воздуха за весь период работы тепловой сети в течение года.
Ожидаемые среднемесячные значения температуры наружного воздуха и грунта определяются как средние значения из соответствующих статистических климатологических значений за последние 5 лет по данным местной метеорологической станции или по климатологическим справочникам.
Среднегодовое значение температуры грунта tср.ггр. определяется как среднее значение из ожидаемых среднемесячных значений температуры грунта на глубине залегания трубопроводов.
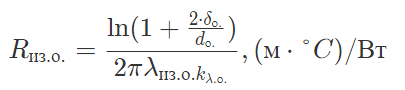
Термическое сопротивление изоляции подающего Rиз.п.и обратного трубопровода Rиз.о. определяется по формулам:


где , dп., dо.- наружные диаметры подающего и обратного трубопроводов, м;
, - толщина изоляции подающего и обратного трубопроводов, м;
λиз.п, λиз.о, - коэффициент теплопроводности изоляции подающего и обратного трубопроводов, Вт /(м*℃), табл. 24.
kλ.п. , kλ.о. - поправочный коэффициент характеризующий состояние изоляции для подающего и обратного трубопроводов, принимается по таблице 25.
Термическое сопротивление теплоотдаче от поверхности изолированного трубопровода в воздушное пространство канала от подающего Rвоз.п. и обратного трубопроводов Rвоз.о. определяется по формулам:


где α- коэффициент теплоотдачи от наружной поверхности изоляции трубопровода к воздуху канала, принимается согласно [6] равным 8 Вт /(м2* °С).
Термическое сопротивление теплоотдаче от воздуха в канале к грунту определяется по формуле:

где αв.- коэффициент теплоотдачи от воздуха в канале к грунту, принимается согласно [6] равным 8 Вт /(м2*℃).
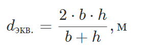
dэкв. -эквивалентный диаметр сечения канала в свету (м), определяемый по формуле:

где b– ширина канала, м;
h - высота канала, м
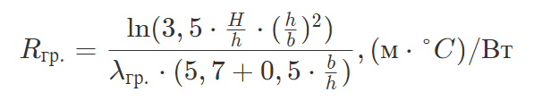
Термическое сопротивление массива грунта определяется по формуле:

λгр - коэффициент теплопроводности грунта, Вт / (м*℃) определяемый по таблице 26
H – глубина заложения до оси трубопроводов, м.
Температура воздуха в канале определяется по формуле:

Среднегодовые часовые удельные тепловые потери qрас. определяются по формуле:

Среднегодовые часовые тепловые потери по подающему трубопроводу определяются по формуле:

Среднегодовые часовые тепловые потери по обратному трубопроводу определяются по формуле:

Термическое сопротивление изоляции подающего Rиз.п. и обратного трубопровода Rиз.о. определяется по формулам (65), (66).
Термическое сопротивление массива грунта для подающего и обратного трубопроводов определяется по формулам:


H – глубина заложения до оси трубопроводов, м.
Термическое сопротивление, учитывающее взаимное влияние подающего и обратного трубопроводов определяется по формулам:

где S - расстояние между осями трубопроводов, м.
Термическое сопротивление изоляции подающего Rиз.п. и обратного трубопровода Rиз.о. определяется по формулам:


где dп., dо. - наружные диаметры подающего и обратного трубопроводов, м;
δп., δо. - толщина изоляции подающего и обратного трубопроводов, м;
λиз.п., λиз.о. - коэффициент теплопроводности подающего и обратного трубопроводов, Вт /(м*° С).
kλ.п., kλ.о. - поправочный коэффициент, характеризующий состояние изоляции для подающего и обратного трубопроводов, принимается по таблице 25.
Среднегодовые часовые удельные тепловые потери подающего qрасп.п. и обратного трубопроводов qрасп.о. определяются по формулам:


Среднегодовые часовые тепловые потери по подающему трубопроводу определяются по формуле:

Среднегодовые часовые тепловые потери по обратному трубопроводу определяются по формуле:

где Lп., Lо. -длина подающего и обратного трубопровода, м.
Среднегодовые часовые удельные тепловые потери подающего и обратного трубопровода определяются по формуле:


,где - среднегодовая температура наружного воздуха, °С;
- коэффициент теплоотдачи от поверхности изоляции к окружающему воздуху, может приниматься от 6 Вт/(м2*℃) при малых значениях скорости ветра и коэффициента излучения покровного слоя изоляции до 29 Вт/(м2*℃) при высоких значениях этих показателей согласно приложения 9 [6].

