Обработка режимно-наладочных испытаний котла. Сервисные функции. Аппроксимация режимных параметров котла.


Сервисные функции Аппроксимация позволяют получить аппроксимированные значения параметров работы котла в узловых точках исследованных режимов его работы.

Под аппроксимацией понимается вычисление значений параметров работы котла, лежащих на некоторой гладкой (аппроксимирующей) кривой, полученной в результате анализа динамики изменения параметра во всем диапазоне исследованных нагрузок. В качестве гладких функций, аппроксимирующих значение параметра, могут применяться рекомендуемые теоретические зависимости, а так же зависимости, характерные для данного котла в условиях испытаний. В любом случае, аппроксимирующая функция вычисляется таким образом, чтобы ее отклонение от узловых точек, полученных при испытаниях, было минимальным. Программа Источник для вычисления аппроксимирующих функций применяет метод наименьших квадратов.

Аппроксимации подлежат следующие режимные параметры котла:

  • Расход топлива на котел в зависимости от давления топлива перед горелками
  • Давление дутьевого воздуха в зависимости от давления топлива перед горелками
  • Коэффициент избытка воздуха за котлом и котлоагрегатом в зависимости от тепловыделения в топке, теплопроизводительности и/или паропроизводительности
  • Температура газов за котлом и котлоагрегатом в зависимости от тепловыделения в топке, теплопроизводительности и/или паропроизводительности
  • Разрежение за котлом и котлоагрегатом в зависимости от тепловыделения в топке, теплопроизводительности и/или паропроизводительности



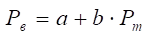
Аппроксимация расхода топлива на котел.


Вычисление расхода газообразного и жидкого топлива в зависимости от давления топлива перед горелками (форсунками) в узловых точках исследованных режимов. В качестве аппроксимирующей функции используется зависимость вида

, где

 - расход топлива на котел

 - давление топлива перед горелками (форсунками)

 - коэффициент аппроксимирующей функции

 - показатель степени аппроксимирующей функции

При вычислении расхода топлива по теоретической зависимости применяется степенная функция вида

При выполнении аппроксимации расхода топлива число исследованных режимов должно быть не менее двух, а при использовании теоретической зависимости – не менее одного исследованного режима.



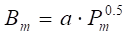
Аппроксимация давления дутьевого воздуха.


Вычисление давления воздуха перед горелками в зависимости от давления топлива перед горелками (форсунками) в узловых точках исследованных режимов. В качестве аппроксимирующей функции используется зависимость вида

, где

 - давление воздуха перед горелками

 - коэффициент аппроксимирующей функции

Теоретическая зависимость давления дутьевого воздуха от давления топлива перед горелками не применяется.

При выполнении аппроксимации давления топлива число исследованных режимов должно быть не менее двух.



Аппроксимация коэффициента избытка воздуха за котлом и котлоагрегатом.


Вычисление коэффициента избытка воздуха в зависимости от тепловыделения в топке или теплопроизводительности или паропроизводительности котла в узловых точках исследованных режимов. В качестве аппроксимирующей функции используется зависимость вида

, где

 - коэффициент избытка воздуха

 - тепловыделение в топке или теплопроизводительность или паропроизводительность котла

Теоретическая зависимость коэффициента избытка воздуха от тепловыделения в топке или теплопроизводительности или паропроизводительности котла не применяется.

При выполнении аппроксимации коэффициента избытка воздуха число исследованных режимов должно быть не менее двух.



Аппроксимация температуры газов за котлом и котлоагрегатом.


Вычисление температуры уходящих газов в зависимости от тепловыделения в топке или теплопроизводительности или паропроизводительности котла в узловых точках исследованных режимов. В качестве аппроксимирующей функции используется зависимость вида

, где

 - температура уходящих газов

 - тепловыделение в топке или теплопроизводительность или паропроизводительность котла

При вычислении температуры уходящих газов по теоретической зависимости применяется степенная функция вида

При выполнении аппроксимации температуры уходящих газов число исследованных режимов должно быть не менее двух, а при использовании теоретической зависимости – не менее одного исследованного режима.



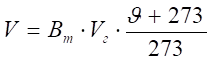
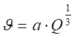
Аппроксимация разрежения за котлом и котлоагрегатом.


Вычисление разрежения в зависимости от расхода продуктов сгорания в узловых точках исследованных режимов. В качестве аппроксимирующей функции используется зависимость вида

, где

 - разрежение в сечении газового тракта за котлом или экономайзером

 - расход продуктов сгорания в сечении газового тракта за котлом или экономайзером м3/ч, вычисляется по формуле

, где

 - объем продуктов сгорания в сечении газового тракта за котлом или экономайзером, м3/кг(м3)

При вычислении разрежения по теоретической зависимости применяется степенная функция вида

При выполнении аппроксимации разрежения число исследованных режимов должно быть не менее двух, а при использовании теоретической зависимости – не менее одного исследованного режима.



Опишем применение сервисной функции Аппроксимация для анализа динамики измеренных значений температуры уходящих газов за котлом в зависимости от паропроизводительности. Пример исходных данных, полученных при испытаниях котла на четырех режимах, представлен в таблице

Паропроизводительность

9,56

13,38

17,20

21,02

Температура газов за котлом (измер)

234

258

279

301


Для программного вычисления аппроксимированных значений температуры уходящих газов за котлов в узловых точках исследованных режимов выполните следующее:

  1. На листе черновик нажмите левой кнопкой мышки на графический объект  в ячейке А1
  2. В появившейся на экране форме Сервис нажмите на пункт меню Аппроксимация
  3. Отметьте галочкой пункт меню Использовать теоретическую зависимость, если предполагается использовать теоретическую зависимость изменения температуры уходящих газов, или сбросьте эту галочку, если соблюдения теоретической зависимости не требуется
  4. В меню Аппроксимация установите курсор на позицию Температура газов за котлом и щелкните левой кнопкой мышки на команде меню Ось Х: паропроизводительность

В результате действий 1 – 4 ячейки листа черновик будут заполнены следующими значениями

Паропроизводительность

9,56

13,38

17,20

21,02

Температура газов за котлом (измер)

234

258

279

301

Температура газов за котлом (аппрокс)

по теоретической зависимости

231

259

281

301

без теоретической зависимости

233

259

281

299


С помощью функций аппроксимации можно так же получать значения параметров на неисследованных режимах работы котла. Например, если во время испытаний котла на режиме №3, не удалось измерить значение температуры уходящих газов, то можно получить оценочное значение этого параметра, используя функцию аппроксимации (данная ситуация представлена в таблице)

Паропроизводительность

9,56

13,38

17,20

21,02

Температура газов за котлом (измер)

234

258


301

Температура газов за котлом (аппрокс)

233

260

281

300