Поверочный расчет ZuluThermo позволяет определить время остывания при отключении потребителя тепловой сети.
Температура определяется по формуле 11.1 Теплофикация и тепловые сети. Соколов Е.Я.

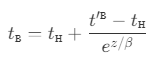
Рисунок 173. Формула 11.1 Теплофикация и тепловые сети. Соколов Е.Я
![]() | Примечание |
|---|---|
|
Данная формула используется и в методике по надежности. |
Где:
tв — внутренняя температура, которая установится в помещении через время (ч) z после нарушения теплового режима, ℃;
t'в — внутренняя температура, которая была в помещении в момент нарушения нормального теплового режима, ℃;
tн — средняя температура наружного воздуха за период нарушения теплового режима, т.е. за время (ч) z, ℃;
Q0 — подача теплоты в помещение, Дж/ч;
q0V — удельные расчетные теплопотери здания, Дж/(ч ×℃);
e — основание натурального логарифма;
z — время остывания при отключении потребителя тепловой сети, (ч);
β — коэффициент аккумуляции здания, ч. Указывается на потребителе в поле Beta_nad, Коэффициент тепловой аккумуляции, ч.
![]() | Примечание |
|---|---|
|
Если этого поля в таблице нет, то его можно добавить с помощью операции Сервис|Добавить поля по надежности. |
Так как потребитель отключается от тепловой сети, то Q0 = 0 — подача теплоты в помещение, Дж/ч, то формула принимает вид:
, откуда определяется z — время остывания при отключении потребителя тепловой сети, (ч).
По умолчанию в поверочном расчете не определяется времени остывания потребителя, вы можете включить расчет данного параметра в настройках расчета и указать температуру, до которой остынут потребители. Температура указывается сразу для всех рассчитываемых потребителей.

Рисунок 174. Диалог настройки расчетов. Вкладка "Протокол расчета"
После включения опции и проведения расчета, результаты будут записаны по потребителям в поле t_cool, Время остывания, ч.
![]() | Примечание |
|---|---|
|
Если этого поля в таблице нет, то его можно добавить с помощью операции Сервис|Обновить структуру таблиц. |