![]() | Предупреждение |
|---|---|
|
Данный раздел относится исключительно к поверочному расчёту и его производным и не применим к модулю Расчет годовых нормативных тепловых потерь. |
Величина непроизводительной нормативной часовой утечки (поля Величина
утечки из подающего трубопровода, т/ч, Gut_pod и Величина
утечки из обратного трубопровода, т/ч, Gut_obr)
из подающего и обратного трубопроводов тепловой сети определяется по формуле:
Формула 40. Утечки из трубопровода

где, α – нормируемая утечка сетевой воды, м3/(ч*м3). Доля нормативной утечки указывается в настройках расчета («Настройка расчета утечек»). Значение по умолчанию 0,25% (установлено правилами технической эксплуатации тепловых энергоустановок и МДК 4-05.2004).
Vтр- объем сетевой воды в трубопроводе тепловой сети, м3.
где ρ - плотность воды (кг/м3), определяемая при τср- средней температуре теплоносителя на входе и выходе из участка тепловой сети. При проведении наладочного расчет плотность указывается в настройках расчета («Выбор и настройка параметров теплоносителя»)
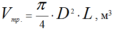
Объём трубопровод тепловой сети определяется по формуле:
Формула 41. Объем трубопровода

D - диаметр трубопровода, м.
L - длина трубопровода, м.
- 3,14.
Формула 42. Средняя температура теплоносителя

τвх. - температура теплоносителя на входе участка тепловой сети, ºС.
τвых. - температура теплоносителя на выходе участка тепловой сети, ºС.
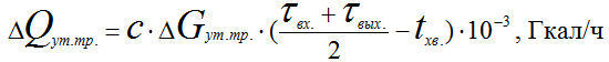
Величина непроизводительных нормативных часовых потерь (поля Тепловые
потери в подающем трубопроводе, ккал/ч, Qpot_pod и
Тепловые потери в обратном трубопроводе, ккал/ч,
Qpot_obr) из подающего и обратного трубопроводов тепловой сети
определяется по формуле:
Формула 43. Потери тепла от утечек на участке тепловой сети

c – удельная теплоёмкость сетевой воды, принимаемая равной 1 ккал/кг °С.
τвх- температура теплоносителя на входе участка тепловой сети, ºС.
τвых- температура теплоносителя на выходе участка тепловой сети, ºС.
τхв- температура холодной воды (подпитки), ºС.