Диаметр горловины элеватора определяется по формуле
Формула 27. Диаметр горловины элеватора

где Gс- расчетный расход сетевой воды (из тепловой сети) на систему отопления, т/ч
u- расчетный коэффициент смешения определяемый по формуле
Формула 28. Расчетный коэффициент смешения

ΔHсо- потери напора в системе отопления (после элеватора) при расчетном расходе воды, м;
Qо.р.- расчетный тепловой поток на отопление, Гкал/ч;
c- удельная теплоемкость воды, ккал/(ч*кг*ºС);
τ1.р.- температура воды в подающем трубопроводе тепловой сети при расчетной температуре наружного воздуха для проектирования отопления, ºС;
τ3.р.- температура воды в подающем трубопроводе системы отопления при расчетной температуре наружного воздуха для проектирования отопления, ºС;
τ2.р.- температура воды в обратном трубопроводе системы отопления при расчетной температуре наружного воздуха для проектирования отопления, ºС;
При выполнение наладочного расчёта, номер элеватора выбирается по следующей таблице.
Диаметр сопла определяется с точностью до десятых долей миллиметра с округлением в меньшую сторону и принимается при расчетах не менее 3 мм.
Таблица 21. Таблица выбора номера элеватора
| Номер элеватора | Диаметр горловины, мм | Примерный расход воды из сети, т/ч | Масса, кг | Размеры элеватора | Размеры сопла, мм | |||||||||||||
| L | A | l | D | D1 | d1 | d2 | d3 | d4 | k1 | k2 | S | l | dmin | dmax | ||||
| 1 | 15 | 0,5—1 | 4,48 | 425 | 90 | 110 | 145 | 160 | 23 | 8 | 19 | 22,2 | 55 | 15 | 17 | 4 | 3 | 6 |
| 2 | 20 | 1—2 | 4,04 | 11 | 45 | 2 | 4 | 9 | ||||||||||
| 3 | 25 | 1—3 | 25,6 | 625 | 135 | 145 | 160 | 195 | 27 | 12 | 20 | 26,2 | 50 | 20 | 22 | 5 | 6 | 10 |
| 4 | 30 | 3—5 | 31 | 135 | 14 | 40 | 16 | 3 | 7 | 12 | ||||||||
| 5 | 35 | 5—10 | 27,5 | 125 | 16 | 30 | 20 | 3 | 9 | 14 | ||||||||
| 6 | 47 | 10—15 | 39 | 720 | 180 | 175 | 195 | 215 | 42 | 20 | 37 | 41,2 | 60 | 22 | 36 | 2 | 10 | 18 |
| 7 | 59 | 15—25 | 41,5 | 155 | 28 | 40 | 21 | 25 | ||||||||||
Минимально необходимый напор ΔH эл.мин, м, перед элеватором для преодоления гидравлического сопротивления элеватора и присоединенной к нему системы отопления (без учета гидравлического сопротивления трубопроводов, оборудования, приборов и арматуры до места присоединения элеватора) определяется по формуле:
Формула 29. Минимально необходимый напор перед элеватором

Диаметр сопла элеватора dс, мм, определяется по формуле
Формула 30. Диаметр сопла элеватора

Диаметр сопла определяется с точностью до десятых долей миллиметра с округлением в меньшую сторону и принимается при расчетах не менее 3 мм.
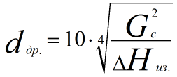
Диаметр отверстия дроссельной диафрагмы определяется по формуле:
Формула 31. Диаметр дроссельной диафрагмы

Минимальный диаметр отверстия дроссельной диафрагмы принимается равным 3 мм. При необходимости устанавливается последовательно несколько диафрагм соответственно с большими диаметрами отверстий.
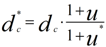
Пересчет диаметра сопла элеватора при изменившемся коэффициенте смешения производится по формуле:
Формула 32. Пересчет диаметра сопла элеватора

где d*с- новый диаметр сопла, мм
u*- новый коэффициент смешения.
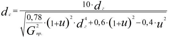
Связь диаметра сопла с диаметром горловины и коэффициентом смешения можно выразить через зависимость:
Формула 33. Связь диаметра сопла с диаметром горловины и коэффициентом смешения

где Gпр. - приведенный расход смешанной воды (т/ч), определяемый по формуле:
Формула 34. Приведенный расход смешанной воды
