Формула 14. Скорость движения воды

Потери напора на участке трубопровода определяются по формуле:
Формула 15. Потери напора на участке

Где λ- коэффициент гидравлического сопротивления.
Коэффициент гидравлического сопротивления может быть определен по формуле Колбрука- Уайта:
Формула 16. Формуле Колбрука-Уайта

Где Re — Число Рейнольдса определяется по формуле:

где ϼ — плотность среды, кг/м3;
v — характерная скорость, м/с;
DΓ — гидравлический диаметр, м;
η — динамическая вязкость среды, Па·с или кг/(м·с);
ν — кинематическая вязкость среды (ν=η/ϼ), м2/с;
Q — объёмный расход потока, м3/с;
A — площадь сечения канала, например, трубы, м2.
Либо коэффициент гидравлического сопротивления по экспериментальным данным по формуле Прандтля- Никурадзе
Формула 17. Формула Прандтля-Никурадзе

Где c=2.0, a=3.7, b=1.14
Или по формуле Б.Л. Шифринсона
Формула 18. Формула Шифринсона

Или по формуле А.Д. Альтшуля
Формула 19. Формула Альтшуля

Потери напора на потребителях определяется по формуле
Формула 20. Потери напора на потребителе

где: Sпот- сопротивление потребителя, м/(т/час)2
Для элеваторного присоединения системы отопления находится как сумма сопротивления трубопроводов СО и сопротивления сопла элеватора:
Формула 21. Потери напора на потребителе

где Gс - расчетный расход сетевой воды (из тепловой сети) на систему отопления, т/ч.
ΔHсо - потери напора в системе отопления (после элеватора) при расчетном расходе воды, м, (как правило 1-2 м.вод.ст.);
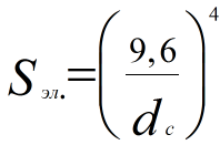
Сопротивление элеваторного узла определяется по формуле:
Формула 22. Сопротивление элеваторного узла

Для независимой схемы присоединения системы отопления, сопротивление трубного пространства теплообменного аппарата определяется по формуле:
Формула 23. Сопротивление СО при незав. схеме

ΔHто.со.- испытательные (расчетные) потери напора в трубном пространстве теплообменников СО, м;испытательные (расчетные) потери напора в трубном пространстве теплообменников СО, м;
Gто.со.- испытательный (расчетный) расход теплоносителя в трубном пространстве тепло-обменников СО, т/час.
Сопротивление теплообменников ГВС определяются по аналогичной формуле
Сопротивление системы вентиляции определяется по формуле:
Формула 24. Сопротивление системы вентиляции

ΔHсв.-расчетные потери напора в системе вентиляции, м;
Gсв.- расчетный расход воды в системе вентиляции (СВ), т/ч.
Суммарное сопротивление потребителя вычисляется в зависимости от типа схемного решения по правилу определения сопротивления последовательно (параллельно) соединенных элементов.